本文介绍Microsoft Excel中INTERCEPT函数的语法和用法。
INTERCEPT函数适用于:Excel2003、Excel2007、Excel2010、Excel2013、Excel2016。
函数说明
INTERCEPT函数的主要作用是利用现有的 x 值与 y 值计算直线与 y 轴的截距。截距为穿过已知的 known_x's 和 known_y's 数据点的线性回归线与 y 轴的交点。当自变量为 0(零)时,使用 INTERCEPT 函数可以决定因变量的值。例如,当所有的数据点都是在室温或更高的温度下取得的,可以用 INTERCEPT 函数预测在 0°C 时金属的电阻。
函数语法
INTERCEPT(known_y's,known_x's)
INTERCEPT(因变的观察值或数据集合,自变的观察值或数据集合)
参数说明
Known_y's:为因变的观察值或数据集合。
Known_x's:为自变的观察值或数据集合。
函数备注
参数可以是数字,或者是包含数字的名称、数组或引用。
如果数组或引用参数包含文本、逻辑值或空白单元格,则这些值将被忽略;但包含零值的单元格将计算在内。
如果 known_y's 和 known_x's 所包含的数据点个数不相等或不包含任何数据点,则函数 INTERCEPT 返回错误值 #N/A。
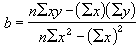
回归线 a 的截距公式为:

公式中斜率 b 计算如下:

其中 x 和 y 为样本平均数 AVERAGE(known_x's) 和 AVERAGE(known_y's)。
函数示例
以下是Excel中使用INTERCEPT函数效果截图

转载请注明: INTERCEPT函数